Catalan Numbers, Lattice Paths & Generating Functions
Lecture Video
Background
Imagine you are standing at the bottom-left corner of an \(n \times n\) grid and you want to walk to the top-right corner. You can only move right or up at each step. How many total paths are there? That is a classic combinatorics warm-up: \(\binom{2n}{n}\). But what if we add a restriction — your path must never go above the main diagonal? The number of such “legal” paths is a Catalan number, a sequence that appears everywhere in mathematics: in parenthesization of expressions, in the structure of binary trees, in polygon triangulations, and much more.
In this lesson we derive the closed-form formula for Catalan numbers in two completely different ways. First, we use a beautiful reflection argument (Andre’s reflection) that converts the problem of counting bad paths into a simple grid-counting problem. Then we set up a recursion based on where a legal path first touches the diagonal and discover that the recursion is nonlinear — unlike anything we have solved before. This motivates the introduction of generating functions, a powerful algebraic machine that encodes an entire sequence into a single polynomial (or power series), letting us manipulate sequences the way we manipulate functions.
- Grid paths: The number of lattice paths from \((0,0)\) to \((n,n)\) using only right and up steps is \(\binom{2n}{n}\).
- Catalan numbers: The number of such paths that never cross above the main diagonal is \(C_n = \frac{1}{n+1}\binom{2n}{n}\).
- Andre’s reflection: Every “trespassing” path can be reflected across the line \(y = x + 1\) to create a one-to-one correspondence with all paths to a shifted destination, giving \(C_n = \binom{2n}{n} - \binom{2n}{n-1}\).
- Catalan recursion: \(C_n = \displaystyle\sum_{j=0}^{n-1} C_j \cdot C_{n-1-j}\), a nonlinear recursion based on the first touching point on the diagonal.
- Generating functions: The formal power series \(G(x) = \displaystyle\sum_{k=0}^{\infty} C_k \, x^k\) encodes all Catalan numbers; squaring \(G(x)\) reproduces the convolution in the recursion, leading to \(G(x) = x\,G(x)^2 + 1\).
Counting Paths on a Grid
Consider an \(n \times n\) grid. We start at corner \(A = (0,0)\) and want to reach corner \(B = (n,n)\). At each step we move either right (R) or up (U). Every path consists of exactly \(2n\) steps — \(n\) rights and \(n\) ups — so we are choosing which \(n\) of the \(2n\) positions will be “right”:
\[\text{Total paths} = \binom{2n}{n}\]
On a \(4 \times 4\) grid, label each lattice point with the number of paths from \((0,0)\) to that point. The bottom row and left column are all \(1\). Every interior point is the sum of its left neighbor and its bottom neighbor — exactly the rule that builds Pascal’s triangle. The corner value is \(\binom{8}{4} = 70\).
The Catalan Constraint: Stay Below the Diagonal
A path is legal if it never goes strictly above the main diagonal \(y = x\). Equivalently, at every point along the path, the number of up-steps taken so far never exceeds the number of right-steps.
The first few Catalan numbers are:
| \(n\) | 0 | 1 | 2 | 3 | 4 | 5 |
|---|---|---|---|---|---|---|
| \(C_n\) | 1 | 1 | 2 | 5 | 14 | 42 |
Notice that \(C_3 = 5\), not \(6\), and it must be odd: every legal path has a mirror image (swap R and U, then reverse), and there is one path on the diagonal that maps to itself. This parity argument generalizes.
Andre’s Reflection Principle
Rather than counting legal paths directly, we count the illegal (trespassing) paths and subtract.
Step 1: Identify the First Trespass
Every illegal path must cross the line \(y = x\) at some point, meaning it touches the line \(y = x + 1\). Call the first such touching point \(P\).
Step 2: Reflect the Remaining Journey
Starting at \(P\), reflect the remainder of the path across the line \(y = x + 1\). This swaps every subsequent R-step with a U-step and vice versa. The reflected path now ends not at \(B = (n, n)\) but at a new point:
\[B^* = (n-1,\, n+1)\]
Step 3: Establish a Bijection
This reflection is reversible: given any path from \(A\) to \(B^*\), it must cross the line \(y = x + 1\) somewhere (since it ends above it). Reflect from the first crossing point to recover a unique trespassing path from \(A\) to \(B\). Therefore:
\[\text{(illegal paths to } B\text{)} = \text{(all paths to } B^*\text{)}\]
Step 4: Count and Subtract
The number of paths from \((0,0)\) to \((n-1, n+1)\) is \(\binom{2n}{n+1}\), since we still take \(2n\) steps but now choose \(n+1\) ups (or equivalently \(n-1\) rights).
\[C_n = \binom{2n}{n} - \binom{2n}{n+1}\]
\[C_n = \binom{2n}{n} - \binom{2n}{n+1}\]
Write each binomial coefficient with factorials:
\[C_n = \frac{(2n)!}{n!\,n!} - \frac{(2n)!}{(n+1)!\,(n-1)!}\]
Factor out \(\frac{(2n)!}{n!\,n!}\):
\[C_n = \frac{(2n)!}{n!\,n!}\left(1 - \frac{n!}{(n+1)!} \cdot \frac{n!}{(n-1)!}\right) = \binom{2n}{n}\left(1 - \frac{n}{n+1}\right) = \binom{2n}{n} \cdot \frac{1}{n+1}\]
Therefore:
\[\boxed{C_n = \frac{1}{n+1}\binom{2n}{n}}\]
\[C_4 = \frac{1}{5}\binom{8}{4} = \frac{1}{5} \cdot 70 = 14\]
Alternatively: \(C_4 = \binom{8}{4} - \binom{8}{5} = 70 - 56 = 14\). Both agree.
Asymptotic Behavior
The fraction of legal paths out of all paths is:
\[\frac{C_n}{\binom{2n}{n}} = \frac{1}{n+1}\]
As \(n\) grows, this fraction shrinks toward zero. For \(n = 100\), only about \(1\%\) of all paths stay below the diagonal. Intuitively, a random walk on a large grid will almost certainly wander above the diagonal at some point.
The Catalan Recursion
There is a completely different way to derive Catalan numbers: recursion based on the first diagonal touch.
Building the Recursion
Consider a legal path on an \(n \times n\) grid. Look at the first time the path touches the main diagonal after leaving \((0,0)\). Suppose this first touch happens at the point \((j+1,\, j+1)\) for some \(0 \le j \le n-1\).
- The path from \((0,0)\) to \((j+1, j+1)\) is forced to start with a right step and end with an up step (otherwise it would touch the diagonal earlier). The portion in between is a legal path on a \(j \times j\) grid: there are \(C_j\) such paths.
- The path from \((j+1, j+1)\) to \((n, n)\) is a legal path on an \((n-1-j) \times (n-1-j)\) grid: there are \(C_{n-1-j}\) such paths.
Summing over all possible first-touch locations:
\[\boxed{C_n = \sum_{j=0}^{n-1} C_j \cdot C_{n-1-j}}\]
with \(C_0 = 1\).
\[C_4 = C_0 C_3 + C_1 C_2 + C_2 C_1 + C_3 C_0\] \[= 1 \cdot 5 + 1 \cdot 2 + 2 \cdot 1 + 5 \cdot 1 = 5 + 2 + 2 + 5 = 14 \checkmark\]
Why This Recursion Is Hard
This is a nonlinear recursion — each term is a product of two earlier Catalan numbers, and we sum over a sliding window. Compare this to a linear recursion like the Fibonacci sequence \(F_n = F_{n-1} + F_{n-2}\), which we can solve using eigenvalues of a characteristic polynomial. No such direct approach works here.
Review: Solving Linear Recursions
Before introducing the heavy machinery needed for the Catalan recursion, let us recall how we handle linear recursions.
Given a recursion like:
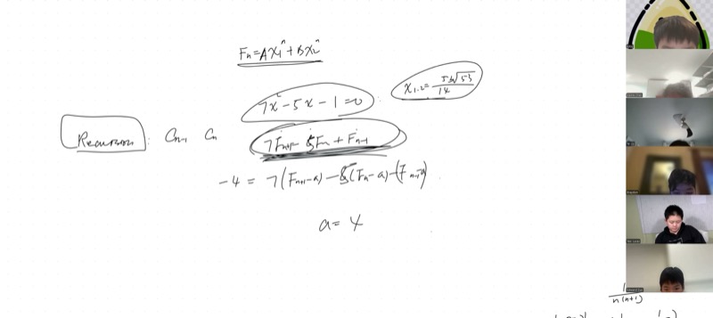
\[7F_{n+1} = 6F_n + F_{n-1} + 5\]
Step 1: Absorb the constant. Define a shifted sequence \(G_n = F_n - a\) chosen so the constant term vanishes. If the constant can be absorbed (i.e., \(1\) is not an eigenvalue), we reduce to a homogeneous recursion.
Step 2: Characteristic equation. For \(G_{n+1} = \alpha G_n + \beta G_{n-1}\), guess \(G_n = r^n\) and solve the quadratic \(r^2 = \alpha r + \beta\) for eigenvalues \(r_1, r_2\).
Step 3: General solution. The solution is a linear combination:
\[G_n = A \cdot r_1^n + B \cdot r_2^n\]
where \(A\) and \(B\) are determined by initial conditions. If \(r_1, r_2\) are complex, the solution involves rotation (amplitude and phase), which we have studied before.
Consider \(7F_{n+1} = 6F_n + F_{n-1} + 4\). Setting \(G_n = F_n - a\), we need \(7a = 6a + a + 4\), i.e., \(0 = 4\). This fails because \(r = 1\) is a root of the characteristic equation \(7r^2 - 6r - 1 = 0\) (check: \(7 - 6 - 1 = 0\)). In such cases we use a different substitution — try \(G_n = F_n - an\) instead, which introduces a linear shift that can handle the resonant case.
Generating Functions: The Key to Nonlinear Recursions
Since the Catalan recursion is nonlinear, we need a new tool. A generating function is a formal power series that packages an entire sequence into a single algebraic object:
\[G(x) = \sum_{k=0}^{\infty} C_k \, x^k = C_0 + C_1 x + C_2 x^2 + C_3 x^3 + \cdots\]
We do not care about plugging in specific values of \(x\) or whether the series converges. The power series is a container — just as we use complex numbers as containers for angle information, we use \(G(x)\) as a container for the Catalan sequence.
The Convolution Connection
The Catalan recursion \(C_n = \sum_{j=0}^{n-1} C_j \cdot C_{n-1-j}\) looks exactly like the formula for the coefficient of \(x^{n-1}\) when we multiply two copies of \(G(x)\) together. When you compute \(G(x)^2\):
\[G(x)^2 = \left(\sum_{k=0}^{\infty} C_k x^k\right)^2 = \sum_{n=0}^{\infty} \left(\sum_{j=0}^{n} C_j C_{n-j}\right) x^n\]
The coefficient of \(x^n\) in \(G(x)^2\) is \(\sum_{j=0}^{n} C_j C_{n-j}\), which is exactly \(C_{n+1}\)!
This means:
\[G(x)^2 = \frac{G(x) - C_0}{x} = \frac{G(x) - 1}{x}\]
Rearranging:
\[\boxed{x \, G(x)^2 - G(x) + 1 = 0}\]
This is a quadratic equation in \(G(x)\)! Solving with the quadratic formula gives a closed-form expression for \(G(x)\), from which we can extract \(C_n\) as the coefficient of \(x^n\). This is the homework exploration for this lesson — try squaring \(G(x)\) and see the pattern emerge.
Treating \(G(x)\) as the unknown in \(xG^2 - G + 1 = 0\), the quadratic formula gives:
\[G(x) = \frac{1 \pm \sqrt{1 - 4x}}{2x}\]
We choose the minus sign (so that \(G(0) = C_0 = 1\) after taking the limit). Expanding \(\sqrt{1 - 4x}\) using the generalized binomial theorem recovers the formula \(C_n = \frac{1}{n+1}\binom{2n}{n}\) as the coefficient of \(x^n\). The full derivation will be completed in the next session.
Key Video Frames

Cheat Sheet
| Concept | Formula / Rule |
|---|---|
| Grid paths \((0,0) \to (n,n)\) | \(\binom{2n}{n}\) |
| Catalan number (closed form) | \(C_n = \frac{1}{n+1}\binom{2n}{n}\) |
| Catalan number (subtraction form) | \(C_n = \binom{2n}{n} - \binom{2n}{n+1}\) |
| Catalan recursion | \(C_n = \displaystyle\sum_{j=0}^{n-1} C_j \cdot C_{n-1-j}\), \(C_0 = 1\) |
| First Catalan numbers | \(1, 1, 2, 5, 14, 42, 132, 429, \ldots\) |
| Fraction of legal paths | \(\frac{C_n}{\binom{2n}{n}} = \frac{1}{n+1}\) |
| Generating function | \(G(x) = \displaystyle\sum_{k=0}^{\infty} C_k x^k\) satisfies \(xG(x)^2 - G(x) + 1 = 0\) |
| Andre’s reflection destination | Trespassing paths biject to all paths to \((n-1, n+1)\) |
| Linear recursion eigenvalues | \(a_n = A r_1^n + B r_2^n\) where \(r_1, r_2\) are roots of characteristic equation |
Quick Reference: Catalan Number Values
| \(n\) | \(C_n\) | \(\binom{2n}{n}\) | Fraction legal |
|---|---|---|---|
| 0 | 1 | 1 | 1 |
| 1 | 1 | 2 | 1/2 |
| 2 | 2 | 6 | 1/3 |
| 3 | 5 | 20 | 1/4 |
| 4 | 14 | 70 | 1/5 |
| 5 | 42 | 252 | 1/6 |
| 6 | 132 | 924 | 1/7 |