Convergence of the Riemann Zeta Function & the Basel Problem
In 1735, Leonhard Euler stunned the mathematical world by proving that the sum of the reciprocals of the perfect squares equals exactly \(\frac{\pi^2}{6}\). Nobody expected a circle constant to appear in a problem about whole numbers! This result — the Basel Problem — connects algebra, calculus, and infinite series in one of the most beautiful identities in all of mathematics. Today we retrace that journey.
Topics Covered
- Convergence of the Riemann zeta function \(\zeta(1+\varepsilon)\) for any \(\varepsilon > 0\)
- Telescoping comparison technique for bounding infinite series
- Connection between sums and integrals via Riemann sums
- Vieta’s formulas applied to infinite-degree polynomials
- Solving the Basel Problem: \(\zeta(2) = \frac{\pi^2}{6}\)
Lecture Video
Key Video Frames




Background: What Is the Riemann Zeta Function?
The Riemann zeta function is defined as the infinite sum
\[\zeta(s) = \sum_{k=1}^{\infty} \frac{1}{k^s} = \frac{1}{1^s} + \frac{1}{2^s} + \frac{1}{3^s} + \cdots\]
When \(s = 1\), this is the harmonic series, which diverges to infinity. When \(s = 2\), it converges to the famous value \(\frac{\pi^2}{6}\). A central question is: for which values of \(s\) does \(\zeta(s)\) converge?
- The harmonic series diverges: \(\zeta(1) = 1 + \frac{1}{2} + \frac{1}{3} + \cdots = \infty\) (proved by grouping terms into blocks of \(\frac{1}{2}\)).
- Any power greater than 1 guarantees convergence: For every \(\varepsilon > 0\), no matter how small, \(\zeta(1+\varepsilon) < \infty\).
- Telescoping comparison: We can bound \(\frac{1}{k^{1+\varepsilon}}\) by a telescoping difference involving \(k^{\varepsilon}\) terms, which collapses to a finite value.
- Vieta meets Taylor: By combining the power series expansion of \(\frac{\sin x}{x}\) with Vieta’s formulas for the sum of reciprocals of roots, we prove \(\zeta(2) = \frac{\pi^2}{6}\).
Part 1: Why the Harmonic Series Diverges
Group consecutive terms:
\[\underbrace{\frac{1}{1}}_{\ge\,1/2} + \underbrace{\frac{1}{2}}_{\ge\,1/2} + \underbrace{\frac{1}{3} + \frac{1}{4}}_{\ge\,1/2} + \underbrace{\frac{1}{5}+\frac{1}{6}+\frac{1}{7}+\frac{1}{8}}_{\ge\,1/2} + \cdots\]
Each block sums to at least \(\frac{1}{2}\), and there are infinitely many blocks. Therefore the series diverges.
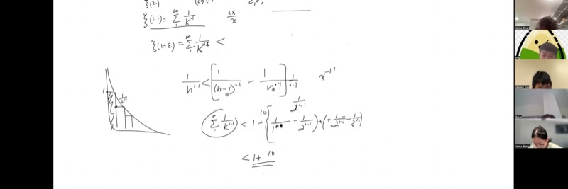
Part 2: Convergence of \(\zeta(1+\varepsilon)\)
The Specific Case \(\zeta(1.1)\)
We want to prove that \(\displaystyle\sum_{k=1}^{\infty} \frac{1}{k^{1.1}}\) converges to a finite value.
Strategy: Split each term using a telescoping trick. We hypothesize:
\[\frac{1}{k^{1.1}} \;\le\; \frac{1}{\varepsilon}\left(\frac{1}{(k-1)^{\varepsilon}} - \frac{1}{k^{\varepsilon}}\right)\]
where \(\varepsilon = 0.1\). The factor \(\frac{1}{\varepsilon} = \frac{1}{0.1} = 10\) arises from the binomial expansion when lowering the power by 1.
When we try to write \(\frac{1}{k^{1+\varepsilon}}\) as a difference of adjacent terms with power \(\varepsilon\), the power rule in reverse (the antiderivative) introduces a coefficient. Specifically, the derivative of \(x^{-\varepsilon}\) is \(-\varepsilon \cdot x^{-\varepsilon - 1} = \frac{-\varepsilon}{x^{1+\varepsilon}}\). Rearranging:
\[\frac{1}{x^{1+\varepsilon}} = \frac{-1}{\varepsilon}\cdot \frac{d}{dx}\!\left(x^{-\varepsilon}\right)\]
This is the origin of the factor \(\frac{1}{\varepsilon}\).
Telescoping Collapse
Separating the first term and summing from \(k = 2\):
\[\sum_{k=1}^{\infty}\frac{1}{k^{1.1}} \;=\; 1 + \sum_{k=2}^{\infty}\frac{1}{k^{1.1}}\]
Each term in the tail is bounded by the telescoping difference (with coefficient 10):
\[\sum_{k=2}^{\infty}\frac{1}{k^{1.1}} \;\le\; 10\sum_{k=2}^{\infty}\left(\frac{1}{(k-1)^{0.1}} - \frac{1}{k^{0.1}}\right)\]
The right side is telescoping:
\[10\!\left(\frac{1}{1^{0.1}} - \lim_{k\to\infty}\frac{1}{k^{0.1}}\right) = 10\,(1 - 0) = 10\]
Therefore:
\[\boxed{\zeta(1.1) \;\le\; 1 + 10 = 11}\]
The General Case
By exactly the same argument with general \(\varepsilon\):
\[\zeta(1+\varepsilon) \;\le\; 1 + \frac{1}{\varepsilon}\]
Key step: The antiderivative of \(\frac{1}{x^{1+\varepsilon}}\) is \(\frac{x^{-\varepsilon}}{-\varepsilon}\). This gives us the telescoping bound, and the series collapses to a finite value no matter how small \(\varepsilon\) is.
Note: the bound \(1 + \frac{1}{\varepsilon}\) grows as \(\varepsilon \to 0\), which is consistent with the harmonic series (\(\varepsilon = 0\)) diverging.
Connection to Integrals
The sum \(\displaystyle\sum_{k=1}^{\infty}\frac{1}{k^{1+\varepsilon}}\) is a left Riemann sum (with \(\Delta x = 1\)) for the integral
\[\int_1^{\infty} \frac{1}{x^{1+\varepsilon}}\,dx\]
Computing directly:
\[\int_1^{\infty} x^{-(1+\varepsilon)}\,dx = \left[\frac{x^{-\varepsilon}}{-\varepsilon}\right]_1^{\infty} = 0 - \frac{1}{-\varepsilon} = \frac{1}{\varepsilon}\]
This integral test confirms convergence for \(\varepsilon > 0\) and recovers the same bound.
Explore the integral comparison:
Drag the \(\varepsilon\) slider to see how the function \(\frac{1}{x^{1+\varepsilon}}\) changes. The green rectangles are the left Riemann sum. When \(\varepsilon\) is close to 0, the rectangles barely fit under any finite area.
Part 3: The Basel Problem — \(\zeta(2) = \frac{\pi^2}{6}\)
Now we shift from proving convergence to computing the exact value of \(\zeta(2)\).
Step 1: Find a polynomial whose roots are \(k\pi\)
We need a function whose zeros are \(\pm\pi, \pm 2\pi, \pm 3\pi, \ldots\) This is simply \(\sin x\), since \(\sin(k\pi) = 0\) for every integer \(k\).
But \(\sin(0) = 0\) too, and we cannot take the reciprocal of the root \(x = 0\). So we divide out that root:
\[f(x) = \frac{\sin x}{x}\]
This function has roots at \(x = \pm\pi, \pm 2\pi, \pm 3\pi, \ldots\) and \(f(0) = 1\) (a removable singularity).
Step 2: Write the power series
From the Taylor expansion of \(\sin x\):
\[\frac{\sin x}{x} = 1 - \frac{x^2}{3!} + \frac{x^4}{5!} - \frac{x^6}{7!} + \cdots\]
Step 3: Change variables to get roots at \((k\pi)^2\)
Setting \(u = x^2\), we get a new “polynomial” (infinite-degree) in \(u\):
\[g(u) = 1 - \frac{u}{3!} + \frac{u^2}{5!} - \frac{u^3}{7!} + \cdots\]
The roots of \(g(u)\) are exactly \(u = \pi^2,\; 4\pi^2,\; 9\pi^2,\; \ldots = (k\pi)^2\) for \(k = 1, 2, 3, \ldots\)
This is the key polynomial to which we apply Vieta’s formulas.
Step 4: Apply Vieta’s Formulas
For a finite polynomial \(a_n x^n + a_{n-1} x^{n-1} + \cdots + a_1 x + a_0 = 0\) with roots \(x_1, x_2, \ldots, x_n\), Vieta tells us:
- Sum of roots: \(\sigma_1 = x_1 + x_2 + \cdots + x_n = -\frac{a_{n-1}}{a_n}\)
- Sum of products of pairs: \(\sigma_2 = \sum_{i<j} x_i x_j = \frac{a_{n-2}}{a_n}\)
For the sum of reciprocals, we can either:
- Compute \(\frac{\sigma_{n-1}}{\sigma_n}\) (common denominator method), or
- Construct the reciprocal polynomial by dividing through by \(x^n\) and reading coefficients in reverse order.
Example: For \(4x^3 - 7x + 1 = 0\), the sum of reciprocals of roots is:
\[\frac{1}{x_1} + \frac{1}{x_2} + \frac{1}{x_3} = \frac{\sigma_2}{\sigma_3} = \frac{-7/4}{1/4\cdot(-1)} = 7\]
Or equivalently, divide by \(x^3\) to get \(4 - \frac{7}{x^2} + \frac{1}{x^3} = 0\), and read off \(\sigma_1\) of the reciprocal roots: \(\frac{-(-7)}{4}\)… but the slickest way is to reverse the polynomial to \(1 - 7x^2 + 4x^3\) and apply Vieta directly.
For our infinite polynomial \(g(u) = 1 - \frac{u}{6} + \frac{u^2}{120} - \cdots\), we treat it as having “leading coefficient” \(a_0 = 1\) (the constant term) and “next coefficient” \(a_1 = -\frac{1}{6}\) (the coefficient of \(u\)).
The sum of the reciprocals of the roots gives us:
\[\sum_{k=1}^{\infty} \frac{1}{(k\pi)^2} = -\frac{a_1}{a_0} = -\frac{-1/6}{1} = \frac{1}{6}\]
Since this polynomial has infinitely many terms, we never reach the “leading” (highest degree) coefficient. However, to find the sum of reciprocals of roots, we construct the reciprocal polynomial by dividing through by the highest power. Reading from the low-degree end, the constant term \(a_0 = 1\) becomes the new leading coefficient, and \(a_1 = -\frac{1}{6}\) becomes the next coefficient. Vieta applied to the reciprocal polynomial gives:
\[\sigma_{-1} = \sum \frac{1}{u_k} = -\frac{a_1}{a_0} = \frac{1}{6}\]
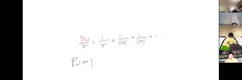
Step 5: Extract \(\zeta(2)\)
We have shown:
\[\frac{1}{\pi^2}\sum_{k=1}^{\infty}\frac{1}{k^2} = \frac{1}{6}\]
Therefore:
\[\boxed{\zeta(2) = \sum_{k=1}^{\infty}\frac{1}{k^2} = \frac{\pi^2}{6}}\]
Explore the partial sums approaching \(\frac{\pi^2}{6}\):
The blue dots show the partial sums \(\sum_{k=1}^{n}\frac{1}{k^2}\) approaching the dashed red line at \(\frac{\pi^2}{6} \approx 1.6449\).
The Lighthouse Proof (3Blue1Brown)
There is a beautiful geometric proof of the Basel Problem using an analogy with lighthouses. The key ideas:
- Inverse-square law: A lighthouse at distance \(d\) provides brightness proportional to \(\frac{1}{d^2}\).
- Altitude theorem: For a right triangle with legs \(a, b\) and altitude \(h\) to the hypotenuse, \(\frac{1}{h^2} = \frac{1}{a^2} + \frac{1}{b^2}\). This is because \(ab = ch\) (both give the area), leading to the inverse-square relationship.
- Circle construction: Place lighthouses equally spaced on circles of doubling radius. Using the altitude theorem repeatedly, redistribute lighthouses to form the series \(\frac{1}{1^2} + \frac{1}{2^2} + \frac{1}{3^2} + \cdots\)
- Limit: As the circle radius grows to infinity, the circumference approaches a straight line, and the total brightness converges to \(\frac{\pi^2}{6}\).
This proof was popularized by Grant Sanderson (3Blue1Brown). Search for “3Blue1Brown Basel Problem” to watch the full visual explanation.
Homework
Use the same Vieta + power series technique to find \(\zeta(4)\):
\[\zeta(4) = \sum_{k=1}^{\infty} \frac{1}{k^4} = \;?\]
Hint: You need the coefficient of \(u^2\) in the polynomial \(g(u) = 1 - \frac{u}{3!} + \frac{u^2}{5!} - \cdots\) and Vieta’s formula relating \(\sigma_{-2}\) to \(\sigma_{-1}\) and the coefficients.
Cheat Sheet
| Result | Formula |
|---|---|
| Harmonic series | \(\zeta(1) = \sum \frac{1}{k} = \infty\) (diverges) |
| Convergence threshold | \(\zeta(1+\varepsilon) \le 1 + \frac{1}{\varepsilon}\) for any \(\varepsilon > 0\) |
| Basel Problem | \(\zeta(2) = \frac{\pi^2}{6} \approx 1.6449\) |
| Integral test | \(\int_1^{\infty} \frac{dx}{x^{1+\varepsilon}} = \frac{1}{\varepsilon}\) |
| Reciprocal sum via Vieta | For polynomial \(a_0 + a_1 u + a_2 u^2 + \cdots\) with roots \(u_k\): \(\sum \frac{1}{u_k} = -\frac{a_1}{a_0}\) |
The Power Series You Need
\[\sin x = x - \frac{x^3}{3!} + \frac{x^5}{5!} - \frac{x^7}{7!} + \cdots\]
\[\frac{\sin x}{x} = 1 - \frac{x^2}{6} + \frac{x^4}{120} - \frac{x^6}{5040} + \cdots\]
The Proof Pipeline
\[\sin x \;\xrightarrow{\div\, x}\; \frac{\sin x}{x} \;\xrightarrow{u = x^2}\; g(u) \;\xrightarrow{\text{Vieta}}\; \sum\frac{1}{(k\pi)^2} = \frac{1}{6} \;\xrightarrow{\times\,\pi^2}\; \zeta(2) = \frac{\pi^2}{6}\]