Graphing Rational Functions: From Long Division to the Complete Curve
Graphing calculators can plot any function instantly, but they often mislead you. A steep vertical asymptote may look like a vertical line. Two roots close together may appear as one. A curve that barely crosses its asymptote can be invisible on screen.
When you graph by hand, you understand why the curve bends the way it does. You learn to predict behavior from the equation alone — a skill that pays off in calculus, physics, and engineering, where you need to analyze functions that no calculator can handle cleanly.
Topics Covered
- Polynomial long division of rational functions
- Slant (oblique) asymptotes vs. horizontal asymptotes
- Factoring numerators and denominators to find intercepts and asymptotes
- Using Vieta’s formulas to reconstruct quadratics from complex conjugate roots
- The complete step-by-step procedure for graphing any rational function
- Multiplicity of roots and curve-crossing behavior
Lecture Video
Key Video Frames




Long division of \(R(x) = \frac{P(x)}{Q(x)}\) splits the function into a polynomial part plus a proper rational remainder that approaches zero at infinity.
The polynomial part is the asymptotic curve (slant asymptote when linear, parabolic asymptote when quadratic, etc.).
Vertical asymptotes come from the real roots of the denominator \(Q(x)\).
The curve intersects its slant asymptote wherever the remainder’s numerator equals zero.
Multiplicity matters: odd-multiplicity roots cause sign changes (the curve crosses); even-multiplicity roots cause bounces (the curve touches and turns back).
Always check end behavior to determine whether the curve starts above or below the asymptote at \(\pm\infty\).
Background: Rational Functions and Asymptotes
A rational function is a ratio of two polynomials:
\[R(x) = \frac{P(x)}{Q(x)}\]
where \(P(x)\) has degree \(n\) and \(Q(x)\) has degree \(m\). The relationship between \(n\) and \(m\) determines the large-scale behavior:
| Degree comparison | Asymptote type | How to find it |
|---|---|---|
| \(n < m\) | Horizontal: \(y = 0\) | Automatic |
| \(n = m\) | Horizontal: \(y = \dfrac{a_n}{b_m}\) | Ratio of leading coefficients |
| \(n = m + 1\) | Slant (oblique) line | Polynomial long division |
| \(n > m + 1\) | Polynomial curve | Polynomial long division |
In this lesson, we work with a case where \(n = m + 1\), producing a slant asymptote.
The Rational Function Under Study
The specific function analyzed in this lesson is:
\[R(x) = \frac{4x^7 - 4000x^6 + \cdots}{6x^6 - 10x - 1}\]
The numerator has degree 7 and the denominator has degree 6, so \(n = m + 1\), guaranteeing a slant asymptote.
The denominator is a 6th-degree polynomial — impossible to factor by hand in general. Using Desmos or a graphing calculator, we identify:
- Two real roots: \(x \approx -0.6\) and \(x \approx 1.7\)
- Two pairs of complex conjugate roots (which do not produce vertical asymptotes)
The factored denominator:
\[Q(x) = 6(x + 0.6)(x - 1.7)(x^2 + 0.41x + 0.37)(x^2 + 1.02x + 0.33)\]
The two unfactorizable quadratics have negative discriminants (\(b^2 - 4ac < 0\)), confirming that their roots are complex. They do not contribute vertical asymptotes.
Vertical asymptotes: \(x = -0.6\) and \(x = 1.7\)
Factor out the leading coefficient and any common powers of \(x\):
\[P(x) = 4x^3(x + 0.09)(x - 999.9)(x^2 - 0.1x + 0.01)\]
This gives us the \(x\)-intercepts:
| Root | Multiplicity | Behavior |
|---|---|---|
| \(x = 0\) | 3 (triple, odd) | Curve crosses the \(x\)-axis |
| \(x \approx -0.09\) | 1 (simple, odd) | Curve crosses the \(x\)-axis |
| \(x \approx 999.9\) | 1 (simple, odd) | Curve crosses the \(x\)-axis |
The remaining quadratic factor \(x^2 - 0.1x + 0.01\) has a negative discriminant, so it has no real roots and does not contribute \(x\)-intercepts.
Step 3: Polynomial Long Division
To divide \(P(x)\) by \(Q(x)\):
- Match the leading term of the dividend with the leading term of the divisor.
- Multiply the entire divisor by that ratio and subtract.
- Repeat until the remainder has degree less than the divisor.
The result:
\[R(x) = \underbrace{\text{Quotient}}_{\text{polynomial part}} + \frac{\text{Remainder}}{Q(x)}\]
The polynomial part is the asymptotic curve. The proper fraction approaches zero as \(x \to \pm\infty\).
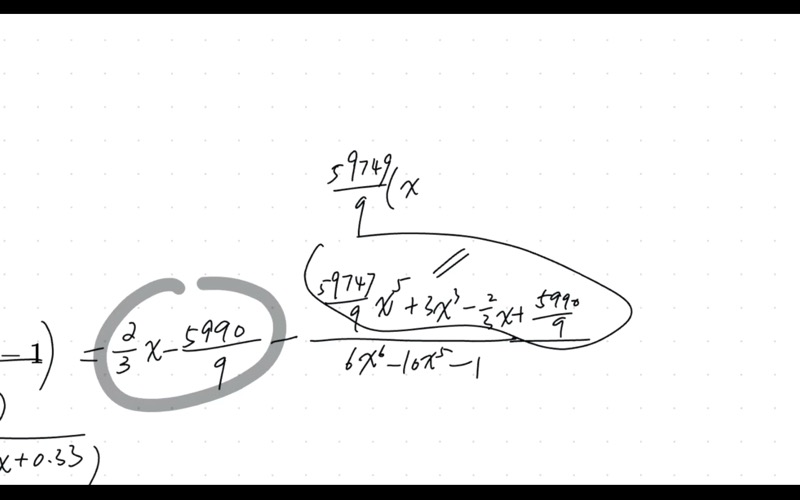
Performing long division on our function:
\[R(x) = \frac{2}{3}x - \frac{5990}{9} + \frac{\text{Remainder}}{Q(x)}\]
The slant asymptote is:
\[y = \frac{2}{3}x - \frac{5990}{9} \approx 0.667x - 665.6\]
We want to divide \(4x^7 - 4000x^6 + \cdots\) by \(6x^6 - 10x - 1\).
Step 1: Cancel common factors if possible (divide coefficients by 2):
\[\frac{2x^7 - 2000x^6 + \cdots}{3x^6 - 5x - \tfrac{1}{2}}\]
Step 2: Match leading terms: \(\dfrac{2x^7}{3x^6} = \dfrac{2}{3}x\)
Step 3: Multiply the divisor by \(\dfrac{2}{3}x\) and subtract from the dividend.
Step 4: The next term of the quotient comes from the new leading term divided by \(3x^6\), yielding the constant \(-\dfrac{5990}{9}\).
Step 5: The remainder is a 5th-degree polynomial (degree less than 6), so division stops.
Step 4: Factor the Remainder’s Numerator
The remainder (after long division) has a 5th-degree numerator. Setting this equal to zero tells us where \(R(x)\) intersects its slant asymptote.
Using Desmos to find the roots of the remainder’s numerator:
- One real root: \(x \approx -0.6\)
- Two pairs of complex conjugate roots: \(x \approx -0.2 \pm 0.6i\) and \(x \approx 0.5 \pm 0.4i\)
Given a pair of complex conjugate roots \(x = \alpha \pm \beta i\), the corresponding quadratic factor is:
\[x^2 - (\text{sum of roots})\,x + (\text{product of roots})\]
Sum: \((\alpha + \beta i) + (\alpha - \beta i) = 2\alpha\)
Product: \((\alpha + \beta i)(\alpha - \beta i) = \alpha^2 + \beta^2\)
So the quadratic is:
\[x^2 - 2\alpha\, x + (\alpha^2 + \beta^2)\]
Example: For roots \(-0.2 \pm 0.6i\):
- Sum \(= -0.4\), so \(-a = -0.4 \Rightarrow a = 0.4\)
- Product \(= (-0.2)^2 + (0.6)^2 = 0.04 + 0.36 = 0.40\)
Quadratic: \(x^2 + 0.4x + 0.40\)
Example: For roots \(0.5 \pm 0.4i\):
- Sum \(= 1.0\), so \(-a = 1.0 \Rightarrow a = -1.0\)
- Product \(= 0.25 + 0.16 = 0.41\)
Quadratic: \(x^2 - 1.0x + 0.41\)
Since the only real root of the remainder is \(x \approx -0.6\), the curve intersects the slant asymptote at one point, very close to the vertical asymptote at \(x = -0.6\). This creates a very tight turn near that asymptote.
Step 5: The Complete Graphing Procedure
Phase 1 — Large-Scale Structure
- Perform polynomial long division to get the asymptotic curve (slant asymptote, horizontal asymptote, or polynomial curve).
- Find vertical asymptotes from the real roots of \(Q(x)\).
Phase 2 — Salient Points
- Find all \(x\)-intercepts from the real roots of \(P(x)\). Note each root’s multiplicity (odd = crosses, even = bounces).
- Find the \(y\)-intercept by evaluating \(R(0)\).
- Find intersections with the asymptote by setting the remainder’s numerator to zero.
Phase 3 — Tracing the Curve
- Determine whether the curve starts above or below the asymptote as \(x \to +\infty\) by checking the sign of the remainder.
- Starting from the right, trace the curve through all salient points, respecting:
- Multiplicity at each root (cross or bounce)
- Vertical asymptote behavior (sign change for odd multiplicity)
- The curve cannot cross the \(x\)-axis or asymptote except at the identified points
Tracing the Curve
Starting from \(x \to +\infty\):
The remainder has a negative leading coefficient (it is subtracted), and for large positive \(x\), the odd-powered numerator is positive while the denominator is positive. The overall remainder is negative, so the curve starts below the slant asymptote.
The proper rational part is:
\[-\frac{\text{(5th-degree polynomial with positive leading term)}}{Q(x)}\]
For large positive \(x\): numerator is large positive, denominator is large positive, but the minus sign makes the whole thing negative. So \(R(x)\) is slightly less than the slant asymptote value — the curve is below.
Tracing from right to left:
- Start below the slant asymptote at \(x \to +\infty\).
- The curve must meet the \(x\)-intercept at \(x \approx 999.9\) (single root — crosses through).
- As \(x\) approaches the vertical asymptote at \(x = 1.7\) from the right, the curve dives to \(-\infty\).
- Emerging on the other side of \(x = 1.7\) (single root in denominator — sign change), the curve comes from \(+\infty\).
- The curve must cross the asymptote at \(x \approx -0.6\) (single intersection), switching from above to below.
- It passes through \(x\)-intercepts near \(x = 0\) (triple root) and \(x \approx -0.09\) (single root).
- Near \(x = -0.6\) (vertical asymptote), the curve dives.
- On the far left side, the curve emerges and must end above the slant asymptote as \(x \to -\infty\).
Checking \(x \to -\infty\):
For large negative \(x\): the odd-powered numerator of the remainder becomes negative, the denominator stays positive (even-powered dominant term), but the overall minus sign makes the remainder positive. So the curve stays above the asymptote. This is consistent with our trace.
Interactive Exploration
Explore a simpler rational function with a slant asymptote:
Here \(R(x) = \dfrac{x^2 - 1}{x - 2}\). Long division gives \(R(x) = x + 2 + \dfrac{3}{x-2}\), so the slant asymptote is \(y = x + 2\). Notice how the curve approaches the dashed line at both ends.
Perform the long division of \(\dfrac{x^2 - 1}{x - 2}\):
\(\dfrac{x^2}{x} = x\). Multiply: \(x(x-2) = x^2 - 2x\). Subtract: \((x^2 - 1) - (x^2 - 2x) = 2x - 1\).
\(\dfrac{2x}{x} = 2\). Multiply: \(2(x-2) = 2x - 4\). Subtract: \((2x-1) - (2x-4) = 3\).
Result: \(x + 2 + \dfrac{3}{x-2}\).
The remainder \(3\) is never zero, so this curve never intersects its slant asymptote!
Explore: The effect of root multiplicity on crossing behavior:
Compare the blue curve (simple roots — crosses the \(x\)-axis) with the purple curve (double root at \(x=0\) — bounces off the \(x\)-axis without crossing).
Special Cases: Asymptote Classification
Let \(R(x) = \dfrac{P(x)}{Q(x)}\) where \(\deg(P) = n\) and \(\deg(Q) = m\).
| Condition | Asymptote | Method |
|---|---|---|
| \(n < m\) | Horizontal: \(y = 0\) | Direct observation |
| \(n = m\) | Horizontal: \(y = \dfrac{a_n}{b_m}\) | Ratio of leading coefficients |
| \(n = m + 1\) | Slant line: \(y = cx + d\) | Long division |
| \(n > m + 1\) | Polynomial curve | Long division |
Key insight: Long division always works. The other cases are just shortcuts for when the quotient is simple enough to read off without dividing.
Cheat Sheet
| Task | Method |
|---|---|
| Vertical asymptotes | Real roots of the denominator \(Q(x) = 0\) |
| Slant asymptote | Polynomial long division \(\to\) quotient |
| \(x\)-intercepts | Real roots of the numerator \(P(x) = 0\) |
| \(y\)-intercept | Evaluate \(R(0)\) |
| Crosses asymptote where? | Set remainder numerator \(= 0\) |
| Above or below at \(\pm\infty\)? | Check sign of remainder for large \(\pm x\) |
| Crosses or bounces at root? | Odd multiplicity = crosses, even = bounces |
| Sign change at vertical asymptote? | Odd multiplicity factor = yes, even = no |
Vieta’s Formulas for Quadratic \(x^2 + ax + b\)
Given roots \(r_1, r_2\):
\[r_1 + r_2 = -a, \qquad r_1 \cdot r_2 = b\]
For complex conjugate roots \(\alpha \pm \beta i\):
\[x^2 - 2\alpha\, x + (\alpha^2 + \beta^2)\]
Polynomial Long Division Template
\[\frac{P(x)}{Q(x)} = \text{Quotient}(x) + \frac{\text{Remainder}(x)}{Q(x)}\]
- \(\deg(\text{Remainder}) < \deg(Q)\) always
- \(\deg(\text{Quotient}) = n - m\)
- As \(x \to \pm\infty\): \(\dfrac{\text{Remainder}}{Q(x)} \to 0\), so \(R(x) \approx \text{Quotient}(x)\)