Solving Cubics, Vieta’s Formulas & Complex Roots
Quadratic equations appear throughout mathematics and science, but nature does not stop at degree 2.
- Engineering: designing curved surfaces requires solving cubic (and higher) polynomial equations
- Physics: projectile motion in a medium with drag involves cubic relationships
- Cryptography: elliptic curve methods rely on cubic equations over finite fields
- History: the race to solve the cubic in 16th-century Italy (Cardano, Tartaglia, del Ferro) is one of the great dramas in mathematics
Mastering cubic equations also unlocks a deep connection between a polynomial’s coefficients and its roots — a theme that extends all the way to modern algebra.
Topics Covered
- Completing the cube to reduce a cubic equation
- The substitution \(u = \alpha + \beta\) and splitting into two piles
- Reducing a cubic system to a quadratic via new variables \(A = \alpha^3\), \(B = \beta^3\)
- Vieta’s formulas: relating roots and coefficients without solving
- Polynomial long division after finding one root
- Complex conjugate cube roots and recovering all three real roots via polar form
Lecture Video
Key Video Frames




Prerequisites
A cubic equation is any polynomial equation whose highest-degree term is \(x^3\).
General form: \(x^3 + ax^2 + bx + c = 0\)
Examples:
- \(x^3 - 6x^2 + 7x = 0\) — cubic
- \(x^3 - 5x + 2 = 0\) — cubic (no \(x^2\) term; this is called a depressed cubic)
- \(x^2 + 3x + 2 = 0\) — NOT cubic (that’s quadratic)
For a quadratic \(x^2 + ax + b\), we rewrite it as \(\left(x + \frac{a}{2}\right)^2 + \left(b - \frac{a^2}{4}\right)\).
Completing the cube is the analogous idea: for \(x^3 + ax^2 + \cdots\), we write \((x + \frac{a}{3})^3 + \cdots\) so that the \(x^3\) and \(x^2\) terms are absorbed, leaving only linear and constant terms to handle.
A complex number has the form \(a + bi\), where \(i = \sqrt{-1}\).
- Polar form: \(r(\cos\theta + i\sin\theta) = re^{i\theta}\), where \(r\) is the magnitude and \(\theta\) is the angle.
- Conjugate: The conjugate of \(a + bi\) is \(a - bi\).
- When you add a complex number and its conjugate, you get \(2a\) — always real!
We will use polar form heavily when extracting cube roots.
Key Concepts
- Completing the cube eliminates the \(x^2\) term by substituting \(u = x - \frac{a}{3}\), reducing to a depressed cubic \(u^3 + pu + q = 0\).
- The \(\alpha + \beta\) substitution: Set \(u = \alpha + \beta\) and split the resulting expression into two groups, each set to zero. This gives \(\alpha^3 + \beta^3 = -q\) and \(3\alpha\beta = -p\).
- Vieta’s formulas: For \(x^2 + ax + b = 0\) with roots \(x_1, x_2\): \[x_1 + x_2 = -a, \qquad x_1 \cdot x_2 = b\]
- Reduction to a quadratic: Setting \(A = \alpha^3\), \(B = \beta^3\), the sum and product conditions let us find \(A\) and \(B\) as roots of a quadratic.
- All three roots come from the three cube roots of a complex number — rotate by \(120°\) in the complex plane.
1. Completing the Cube
The Idea
Just as completing the square absorbs the linear coefficient by halving it, completing the cube absorbs the quadratic coefficient by taking one-third of it.
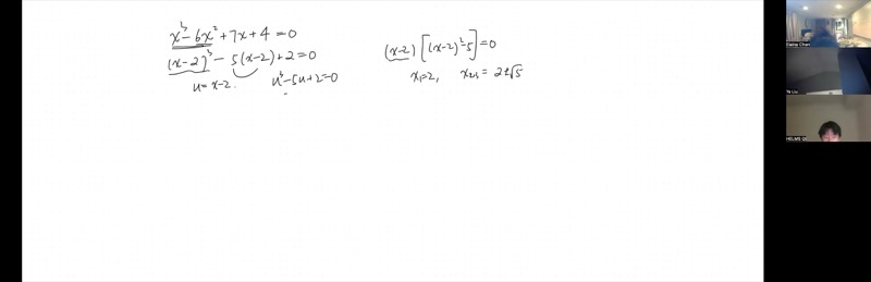
Given: \[x^3 - 6x^2 + 7x = 0\]
we set \((x - 2)^3\) because \(\frac{6}{3} = 2\). Expanding:
\[(x-2)^3 = x^3 - 6x^2 + 12x - 8\]
So the original equation becomes:
\[\underbrace{(x-2)^3}_{\text{absorbs } x^3 - 6x^2} - 5(x-2) + 2 = 0\]
Expand \((x-2)^3\):
\[x^3 - 6x^2 + 12x - 8\]
Our equation is \(x^3 - 6x^2 + 7x = 0\). The first two terms match. The remaining terms are:
\[7x - 12x + 8 = -5x + 8\]
We want to write this in terms of \((x-2)\):
\[-5x + 8 = -5(x - 2) - 2\]
Wait — let’s recheck: \(-5(x-2) = -5x + 10\). We need \(-5x + 8\), so:
\[-5(x-2) + (8 - 10) = -5(x-2) - 2\]
Putting it together:
\[(x-2)^3 - 5(x-2) - 2 = 0\]
Substituting \(u = x - 2\) gives the depressed cubic:
\[u^3 - 5u - 2 = 0\]
The Easy Case: When It Factors Directly
In the lecture, the first example used \(+7x\) (not \(+9x\)), giving:
\[(x-2)^3 - 5(x-2) = 0\]
which factors as:
\[(x-2)\bigl[(x-2)^2 - 5\bigr] = 0\]
Roots: \(x = 2\), \(x = 2 + \sqrt{5}\), \(x = 2 - \sqrt{5}\).
2. Vieta’s Formulas
For \(x^2 + ax + b = 0\) with roots \(x_1\) and \(x_2\):
\[x_1 + x_2 = -a \qquad \text{(sum of roots)}\] \[x_1 \cdot x_2 = b \qquad \text{(product of roots)}\]
Why does this work?
If \(x_1, x_2\) are roots, the polynomial factors as:
\[(x - x_1)(x - x_2) = x^2 - (x_1 + x_2)\,x + x_1 x_2\]
Comparing with \(x^2 + ax + b\):
- Coefficient of \(x\): \(-(x_1 + x_2) = a \implies x_1 + x_2 = -a\)
- Constant term: \(x_1 x_2 = b\)
That’s it! No quadratic formula needed — just expand and match.
Vieta’s formulas extend to any degree
For \(x^3 + ax^2 + bx + c = 0\) with roots \(x_1, x_2, x_3\):
\[x_1 + x_2 + x_3 = -a\] \[x_1 x_2 + x_1 x_3 + x_2 x_3 = b\] \[x_1 x_2 x_3 = -c\]
These are called symmetric functions of the roots because they don’t change if you relabel the roots.
Example: Constructing a quadratic from sum and product
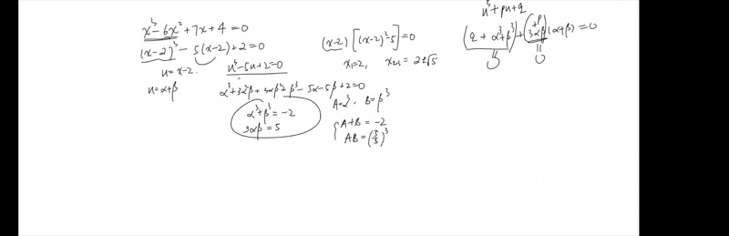
If you know \(A + B = -2\) and \(A \cdot B = \left(\frac{5}{3}\right)^3\), then \(A\) and \(B\) are roots of:
\[z^2 + 2z + \frac{125}{27} = 0\]
This is exactly the “Vieta backward” technique used in the lecture to reduce the cubic to a quadratic.
3. The Full Cubic Solution Machine
Step 1: Reduce to depressed form
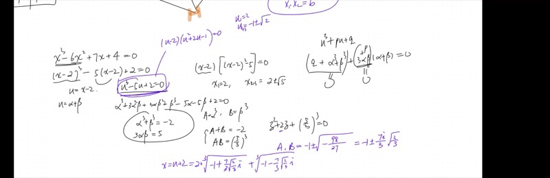
Start with \(x^3 - 6x^2 + 9x = 0\) (the harder version from the lecture). Complete the cube:
\[u^3 - 5u + 2 = 0 \qquad \text{where } u = x - 2\]
Step 2: Substitute \(u = \alpha + \beta\)
Expand:
\[\alpha^3 + 3\alpha^2\beta + 3\alpha\beta^2 + \beta^3 - 5\alpha - 5\beta + 2 = 0\]
Regroup:
\[\underbrace{(\alpha^3 + \beta^3 + 2)}_{\text{Pile 1}} + \underbrace{(3\alpha\beta - 5)(\alpha + \beta)}_{\text{Pile 2}} = 0\]
Set each pile to zero:
We have two unknowns (\(\alpha\) and \(\beta\)) but only one equation. That means we have a degree of freedom. We choose to impose the extra constraint \(3\alpha\beta = 5\) (Pile 2 = 0), which then forces Pile 1 = 0 as well.
This is an engineering trick: we’re not losing generality because any solution to the original equation can be decomposed this way.
Step 3: Reduce to a quadratic
Set \(A = \alpha^3\) and \(B = \beta^3\). Then:
\[A + B = -2 \qquad \text{and} \qquad AB = \left(\frac{5}{3}\right)^3 = \frac{125}{27}\]
By Vieta’s (backward!), \(A\) and \(B\) are roots of:
\[z^2 + 2z + \frac{125}{27} = 0\]
Using the quadratic formula:
\[z = \frac{-2 \pm \sqrt{4 - \frac{500}{27}}}{2} = \frac{-2 \pm \sqrt{\frac{108 - 500}{27}}}{2} = \frac{-2 \pm \sqrt{\frac{-392}{27}}}{2}\]
\[= -1 \pm \frac{\sqrt{392}}{2\sqrt{27}}\,i = -1 \pm \frac{14}{3\sqrt{27}}\,i = -1 \pm \frac{14\sqrt{3}}{27}\,i\]
So \(A\) and \(B\) are complex conjugates! This is the famous casus irreducibilis: even though all three roots are real, the intermediate computation passes through complex numbers.
Step 4: Extract cube roots in polar form
Write \(A = re^{i\theta}\) where:
- \(r = |A| = \sqrt{1 + \frac{392}{27}} \approx \sqrt{15.52} \approx 3.94\)
- \(\theta = \pi - \arctan\!\left(\frac{14\sqrt{3}/27}{1}\right)\)
The cube root is:
\[\alpha = r^{1/3}\,e^{i\theta/3}\]
Because angles are determined only modulo \(2\pi\), we get three cube roots by adding \(0\), \(\frac{2\pi}{3}\), and \(\frac{4\pi}{3}\) to \(\frac{\theta}{3}\).
Each cube root \(\alpha_k\) paired with its conjugate \(\beta_k\) gives:
\[u_k = \alpha_k + \beta_k = 2\,\text{Re}(\alpha_k)\]
This is always real because we are adding conjugate pairs!
4. Polynomial Long Division
Once you find one root (say by inspection), you can divide it out to reduce the degree.
Example: \(u^3 - 5u + 2 = 0\) with root \(u = 2\)
Divide \(u^3 + 0u^2 - 5u + 2\) by \((u - 2)\):
- Fit: \(u^3 \div u = u^2\). Write \(u^2\).
- Check: \(u^2 \cdot (-2) = -2u^2\). We need \(0u^2\), so add \(+2u\).
- Fit: \(2u \cdot (-2) = -4u\). We have \(-5u\), need \(-5u - (-4u) = -u\) more. So add \(+1\) (since we need \(1 \cdot (-2) = -2\) to complete: \(-5u + 4u = -u\)… actually let’s be careful):
Working through:
\[\frac{u^3 - 5u + 2}{u - 2} = u^2 + 2u - 1\]
Verify: \((u-2)(u^2 + 2u - 1) = u^3 + 2u^2 - u - 2u^2 - 4u + 2 = u^3 - 5u + 2\) ✓
Now solve \(u^2 + 2u - 1 = 0\):
\[u = \frac{-2 \pm \sqrt{4 + 4}}{2} = \frac{-2 \pm 2\sqrt{2}}{2} = -1 \pm \sqrt{2}\]
All three roots of the original equation \(x^3 - 6x^2 + 9x = 0\) (recall \(x = u + 2\)):
| \(u\) | \(x = u + 2\) | Approximate value |
|---|---|---|
| \(2\) | \(4\) | \(4\) |
| \(-1 + \sqrt{2}\) | \(1 + \sqrt{2}\) | \(\approx 2.414\) |
| \(-1 - \sqrt{2}\) | \(1 - \sqrt{2}\) | \(\approx -0.414\) |
5. Complex Cube Roots and the \(120°\) Rotation
When you take the cube root of a complex number \(re^{i\theta}\), there are three results:
\[r^{1/3}\,e^{i(\theta + 2k\pi)/3}, \qquad k = 0, 1, 2\]
These three roots are equally spaced at \(120°\) apart on a circle of radius \(r^{1/3}\).
Drag the \(\theta_0\) slider to rotate all three cube roots together. Notice they always stay \(120°\) apart.
If \(A = re^{i\theta}\), then its conjugate is \(B = re^{-i\theta}\).
Their cube roots (for the same \(k\)) are:
\[\alpha_k = r^{1/3} e^{i(\theta + 2k\pi)/3}, \qquad \beta_k = r^{1/3} e^{-i(\theta + 2k\pi)/3}\]
Adding:
\[\alpha_k + \beta_k = 2\,r^{1/3}\cos\!\left(\frac{\theta + 2k\pi}{3}\right)\]
This is purely real for every \(k\). Each value of \(k = 0, 1, 2\) gives a different real root of the cubic.
Cheat Sheet
| Technique | Recipe |
|---|---|
| Complete the cube | \(x^3 + ax^2 + \cdots \;\to\; (x + \frac{a}{3})^3 + \cdots\) (absorbs \(x^3\) and \(x^2\) terms) |
| Depressed cubic | \(u^3 + pu + q = 0\) (no \(u^2\) term) |
| Vieta’s (quadratic) | Roots \(x_1, x_2\) of \(x^2+ax+b=0\): sum \(= -a\), product \(= b\) |
| Vieta’s (cubic) | Roots \(x_1,x_2,x_3\) of \(x^3+ax^2+bx+c=0\): \(\sum = -a\), \(\sum_{\text{pairs}} = b\), product \(= -c\) |
| \(\alpha+\beta\) method | Set \(u=\alpha+\beta\), impose \(3\alpha\beta = -p\), get \(\alpha^3+\beta^3=-q\) |
| Reduce to quadratic | \(A=\alpha^3, B=\beta^3\): solve \(z^2 + qz + (-p/3)^3 = 0\) |
| Poly long division | Know one root \(r\) \(\Rightarrow\) divide by \((x-r)\) to get a quadratic |
| Three cube roots | \(\sqrt[3]{re^{i\theta}} = r^{1/3}e^{i(\theta+2k\pi)/3}\) for \(k=0,1,2\) (spaced \(120°\) apart) |
Quick-Reference: Vieta’s Formulas
\[\boxed{x^2 + ax + b = 0 \implies x_1 + x_2 = -a,\quad x_1 x_2 = b}\]
\[\boxed{x^3 + ax^2 + bx + c = 0 \implies \begin{cases} x_1+x_2+x_3 = -a \\ x_1x_2+x_1x_3+x_2x_3 = b \\ x_1x_2x_3 = -c \end{cases}}\]